2024年度
中级注册安全工程师职业资格考试
将于2024年
10月26日、10月27日举行
宜昌现代信息学校提醒广大考生注意以下事项:

考试时间

考点信息
✦宜昌市现代信息学校考点(修远楼)
(宜昌市伍家岗区桔乡路498号)

考生须知
NO.1 考前准备
1. 熟悉考试规则和要求:
认真阅读准考证上的考试信息和注意事项,了解考试时间、地点、科目、考场规则等。
确认考试所需的证件(如身份证、准考证)是否齐全,并提前准备好。
2. 复习备考:
合理安排复习时间,对重点知识进行系统复习和巩固。可以通过做模拟题、历年真题等方式熟悉考试题型和答题技巧。
3. 准备考试用品:
按照考试必备物品清单准备好文具(黑色墨水笔、2B 铅笔、橡皮等)、证件和其他必要物品。
确保文具质量良好,避免在考试中出现故障。
NO.2 考试当天
1. 提前到达考场:
提前规划好交通路线,预留足够的时间到达考场,避免因交通拥堵等原因迟到。
一般建议提前 30 分钟至 1 小时到达考场,以便有时间找到考场位置、适应考场环境。
2. 遵守考场规则:
进入考场后,听从监考人员的安排,遵守考场纪律。
关闭手机等电子设备,并将其放在指定位置,不得携带任何与考试无关的物品进入考场。
按照要求填写答题卡和答题纸上的个人信息,确保准确无误。
3. 答题技巧:
仔细阅读题目要求,理解题意后再作答。合理安排答题时间,先易后难。
答题时要注意书写规范、清晰,避免因字迹潦草而影响得分。
在答题卡上涂写答案时,要确保涂卡准确,避免出现漏涂、错涂等情况。
温馨提示
中级注册安全工程师
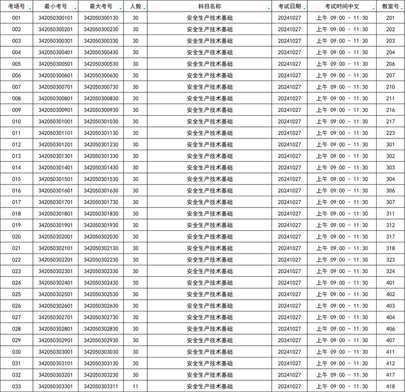
2024年中级注册安全工程师职业资格考试考场安排表










考场平面图